2014-2017年虚拟金融资产市场波动溢出效应研究:基于MSVAR模型的分析
tp官方网站下载 2025年3月2日 14:07:23 tpwallet官方网站 153

比特币市场波动效应概述

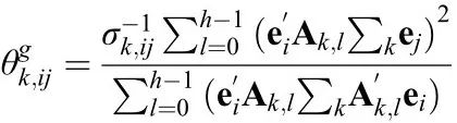
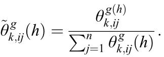
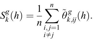
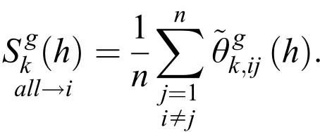
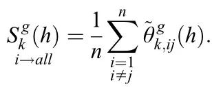
比特币市场的波动溢出效应一直是人们关注的重点。静态结果显示,在不同的状态下,6 个 VFA 市场平均存在着总波动溢出效应、内部波动溢出效应以及净波动溢出效应。这些效应展现了比特币市场的复杂情形,对理解其运行机制有着重要意义。

不同市场在波动溢出方面有各自特点,这些特点与市场规模相关,与市场活跃度相关,还与市场的国际影响力相关。深入研究这些效应,一方面有助于投资者掌握市场动态,另一方面能为监管部门提供决策依据。

各市场内部波动溢出分析

美元比特币市场的内部溢出情况最为显著,数值达到 0.9998,这表明美元比特币市场内部的关联性较为紧密,价格波动在其内部能够快速传递。人民币比特币市场的内部溢出则最小,为 0.33118,这与处于温和状态的结论是相符合的。
这表明不同市场的内部结构有差异。美元市场,它具有较强的国际地位且参与度广泛,内部交易较为频繁,所以波动溢出比较大;人民币市场,可能由于受到政策、市场成熟度等因素的影响,其内部波动的传递相对比较弱。


不同市场的溢出角色

美元比特币市场在波动溢出效应方面,一方面是传递者,其数值为 0.00149;另一方面又是接收者,数值为 0.00016。这意味着美元市场在全球比特币市场中相对稳定,拥有较强的自我调节能力。

日元比特币市场对其他市场的净波动溢出效应为 0.51127,且在各市场中是最大的。日元犹如原始比特币,当其处于强溢出状态时,会将风险传导至全球比特币市场,这表明日元市场在波动扩散过程中发挥着重要作用。

波动溢出的不对称性
在两种状态下,英镑比特币市场的内部溢出差异是最大的,差值为 0.893;人民币比特币市场的内部溢出差异是最小的,差值为 0.269。这表明不同比特币市场的防御机制具有不对称性。在应对风险时,各个市场的能力和策略都不一样。

净波动溢出的不对称效应能更精准地描绘出不同比特币市场的风险转移情况。各个市场遭遇外部冲击时,在对风险的吸收方面以及传递程度上存在差别,这种差别让市场间的波动变得复杂且多变。
不同状态下的外部溢出特点

第一阶段处于强溢出状态时,总波动溢出比较大。这意味着在强溢出状态下,TS 在 6 个比特币市场里有着重要地位。美元比特币市场在状态 1 中,它的外部溢出效应比较大;欧元比特币市场在状态 2 中,其外部溢出效应也比较大等。各个不同的市场在不同的状态下,呈现出的表现各不相同。
市场具有不稳定性且是多变的,这一点得以体现。投资者需根据不同的状态,挑选合适的投资策略,以此降低风险,从而获得更优收益。
市场效率与波动溢出关系
美元比特币市场的有效性比其他五个市场的有效性要高。这意味着它在防范外部溢出效应方面更有优势。与之形成对比的是,发展中国家的比特币市场效率较为低下,难以有效地避免来自其他市场的溢出冲击。
在状态 2 中,比特币市场状况有所改善,这有助于提升其稳定性。英镑金融市场持续发展,使其能够更便捷地应对全球比特币市场所带来的溢出效应。美元比特币市场会对比特币价格的波动做出反应,这种反应能够增强它在全球虚拟金融资产市场中的影响力。
你认为在未来,哪个比特币市场最有希望增强它对波动溢出的应对能力?
